Voltage Regulators: DC to DC Current

Most low end chips such as this use around 40 nm technology and are manufactured in China. The 7800 series uses the last two digits to designate the output voltage: in this case, 5V.

The schematic of the 7805 is complex and includes many resistors and transistors arranged in series with capacitors located to level the voltage. At the top is a Zener diode. The pins are numbered at the bottom.

An X-ray depicting the inner workings of the 7805.
Table: IC 78xx series
| IC Part | Vin | Vout |
|---|---|---|
| 7805 | 7.3 | 5 |
| 7806 | 8.3 | 6 |
| 7808 | 10.5 | 7 |
| 7810 | 12.5 | 10 |
| 7812 | 14.5 | 12 |
| 7815 | 17.7 | 15 |
| 7818 | 21.0 | 18 |
| 7824 | 27.1 | 24 |
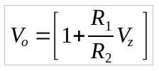
Formulae
Output Voltage uses the formula:

where:
| Vo | Voltage out |
| R1 | Resistor 1 |
| R2 | Resistor 2 |
| Vz | Voltage by Zener resistor |
Measurements

Using a 6V battery (four AA batteries in series), I used this schematic. Measurements are recorded within the schematic.

Using a 9V transistor battery, I used this schematic. Measurements are recorded within the schematic.

I simplified my schematic by reducing it to two capacitors: a 0.22 uF electrolytic capacitor and a 0.1 uF ceramic capacitor.
Prototype

I simplified the circuit by removing the resistor, keeping the diode, and removing the extra two capacitors, leaving the 0.22uF electrolytic capacitor on the left and the 0.1uF ceramic capacitor on the right. This produces an output of 5V 1.5A. The 7805 chip can be seen mounted between the two capacitors. The positive lead is red and the negative lead is black.

The back side of the prototype.
Putting Three Components Together

Putting three components together: The AC Transformer (AC current as sine wave, swinging from positive to negative, stepping down from ±120V to ±6V), the Rectifier (AC to DC current, all positive) and the Voltage Regulator (DC to DC, smoothing out the saw tooth pattern into a flat line, all positive). On the far left is AC current swinging from +120V to -120V. On the far right is steady DC current at 5V < 500 mA.
Prototype: Rectifier & Voltage Regulator

My three components attached in series: The Transformer, the Rectifier and the Voltage Regulator. The output of the Transformer is 12V 5A, the Rectifier is 11.45V 3.5A; and the Voltage Regulator is 5.05VV 1.35A.